
High Court’s severe affront to justice by HHJ Pelling KC
November 21, 2025
Sir Geoffrey Vos – Master of the Rolls jumps ship
January 21, 2026- Affront to justice
- Anti corruption champion
- Chief ICC Judge Briggs
- Civil Restraint Orders
- Civil restraint orders to conceal fraud
- Corrupt judge
- Corrupt judges
- Corrupt UK High Court Judges
- Crimes by a judge
- Earth Energy Investments LLP
- Empowering Wind MFC Ltd
- Exposing corruption
- HHJ Pelling
- HHJ Pelling KC
- His Honour Judge Pelling
- Human rights abuse civil restraint orders
- immunity from suit
- Insolvency & Companies Court
- Judge Mark Pelling
- Judge Pelling
- Judges perverting
- Judicial corruption
- Judicial fraud
- Judicial independence
- London Commercial Court
- Lord Justice Miles
- Ministry of Justice anti corruption
- Misuse of civil restraint orders
- Mr Justice Arnold
- Mr Justice Fancourt
- Paul Millinder
- Philip Mark Pelling
- set aside civil restraint order
- The doctrine of witness immunity
- UK corruption
- UK judicial misconduct
- Wind powered football stadium
- witness immunity
Table of Contents
ToggleJudicial corruption and 3 lies by the 3 stooges
Judicial corruption violates not only the rights of victims, but also the State’s treaty-based human rights obligations and international law, eroding democracy, defeating judicial propriety with nepotism and third party influence, undermining the rule of English law, justice and the public trust.
– Download this article in PDF for printing / distribution –
In this article we expose ‘3 judicial stooges’, (Lord Justice Arnold, Lord Justice Nugee & the Master of the Rolls, Lord Justice Vos) and the lies they told and acts they carried out to conceal the crucial facts and evidence. Unquestionably, a severe affront to justice, by senior members of the judiciary.
Told for the ordinary man or woman down the pub, and based on real evidence, we expose major flaws in the UK justice system with unregulated and lawless judges lying and cheating to sway the case in favour of the wrongdoers due to their political status and connections.
Welcome to the totalitarian state of systemically corrupt two-tier justice Britain, the English rule of law is no more.

1. 1 of 3: Sir Richard Arnold – AKA Lord Justice Arnold
On 9 January 2017 Sir Richard Arnold (Richard David Arnold – D.O.B 23 June 1961) presided over an ex-parte financial injunction application brought by Middlesbrough Football Club, owned by its Chairman, Steve Gibson OBE, the Tory turncoat former Labour politician.
It is between 9 January 2017 and 16 January 2017 that the offending by Middlesbrough Football Club, their lawyers, and Sir Richard Arnold occurred.
On 17 October 2019, Sir Richard was made Lord Justice Arnold, elevated from the High Court, now sitting in the Court of Appeal, reviewing decisions from lower courts to ensure the law was applied fairly and correctly.
Taxpayer sponsored cronyism by corrupt officials in charge of the judiciary? You decide.

Sir Richard Arnold, pictured is now Lord Justice Arnold sitting in the Court of Appeal – an extreme risk of harm to all he comes into contact with?
1.1. Judicial corruption: A severe affront to justice by Sir Richard Arnold on 9 January 2017
Earth Energy Investments LLP v Middlesbrough Football & Athletic Company (1986) Ltd:
What happened was that on 6 January 2017, Earth Energy Investments LLP (‘EEI‘) served Middlesbrough Football & Athletic Company (1986) Ltd a statutory demand for a liquidated sum of £530,000.
The EEI statutory demand prompted Middlesbrough Football Club to instruct their lawyers to apply for an ex-parte (without notice) financial injunction, on 9 January 2017.
However, there was never any dispute as to the contractual facts, so what’s evidential is that the Club and their lawyers lied about those crucial contractual facts, and the assignment that unpinned the EEI claim.
What ensued was a severe and undoubtedly a criminal affront to justice, not only by officers of the court, but by senior judges themselves, needless to say fraudulent non-disclosure originating by the Club and their lawyers between 9 – 16 January 2017.
1.2. An ex-parte financial injunction application by Middlesbrough FC
The two crucial facts and the related material information
FACT 1: The EEI claim was based on an assignment:
Pursuant to Section 136(1) of the Law of Property Act 1925 EW assigned the debt, the investment made in EW to its parent, EEI on 29 June 2015. EEI first served notice of the assignment on the Club on 30 June 2015, then again on 6 January 2017 by independent process server.

Paragraph 108 of the judgment by Lord Justice Vos, Chancellor of the High Court of 8 February 2019 referring to the assignment from EW to EEI.
FACT 2: The EEI claim was based on the completed contractual terms – namely the force majeure definition and clauses:

The operative clause of force majeure in the lease between EW and Middlesbrough Football Club
Schedule 7 of the lease (Rent) provided for 365-days free to rent from which EW was to have ‘commissioned’ the wind turbine. Therefore, from 23 December 2014, EW was to enjoy 269-days free of rent.
The first instalment of rent in the sum of £15,000 including V.A.T was due on Friday 18 September 2015. On 19 August 2015 the Club forfeited the lease, based on their unwarranted demand, after killing the project. Without a connection, the turbine cannot operate!

Middlesbrough Football Club defeated the connection and therefore the contracts that required it – Then failed to disclose that they did !
Middlesbrough Football Club ‘killed the project’ with 3 strikes:
A. On 30 April 2015, the Club refused the connection – without a connection, the turbine cannot operate.
B. On 25 June 2015 the Club demanded the sum of £256,269.89 of which £75,000 was for rent and £181,269.89 an invoice for energy supply, they were contractually prohibited from invoicing for, as the supply contract required EW’s “satisfaction in full of” “entering into a connection agreement” prior to any “Entitlement to Agreed Output” (agreement to supply power).
We feature the official hearing transcript and judgment of 9 January 2017, when Sir Richard Arnold, then a High Court Judge, presided over the Club’s (without notice) financial injunction application brought by Middlesbrough Football Club, and their solicitors, Womble Bond Dickinson (UK) LLP in Newcastle, who instructed Ulick Staunton, counsel, of Radcliffe Chambers.
The ex-parte transcript of 14-pages including Sir Richard Arnold’s judgment, enabled us to pinpoint and exhibit the evidence Sir Richard Arnold was taken to, so we can prove, with a high degree of assurance, his actual knowledge of fact and circumstances, prior to fraudulently misrepresenting and concealing those crucial facts in the way that Sir Richard Arnold did.
The evidential test we performed establishes a person’s state of mind (mens rea), and culpability of the fraud by false representation, easily proven on the strength of the real evidence, to have been committed by Sir Richard Arnold.
False representations by the Club in relation to the force majeure clause in the lease:
From the official transcript (pages 3 – 4):
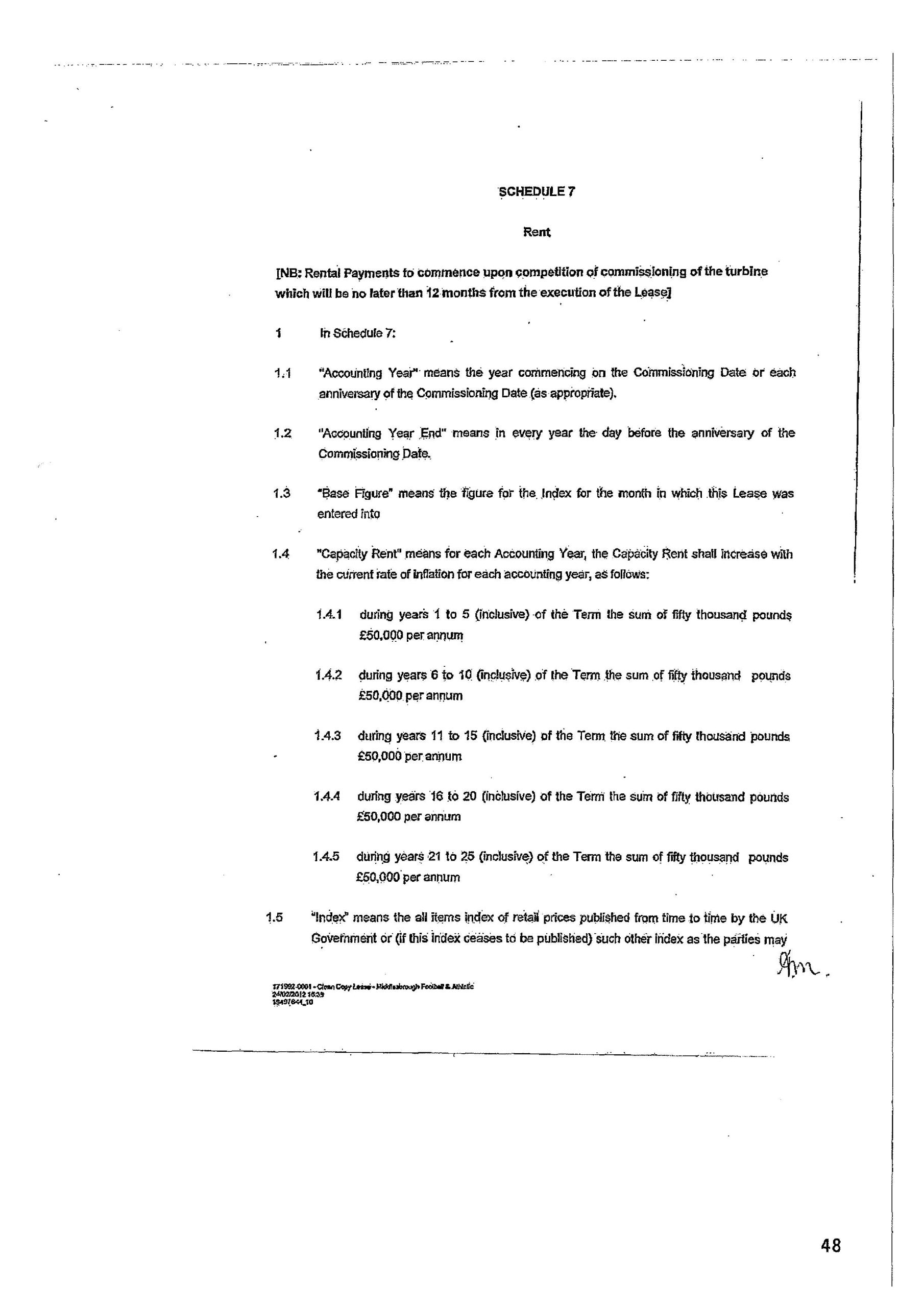
MR STAUNTON: If I take you to p.32, cl.1.1, covenant to pay that further rent as set out in Schedule 7. Page 48, cl.1.4.1, there is the further rent of 50,000 a year.
The respondent argues constantly about force majeure. Can you turn back to p.22, please? There is a definition clause for force majeure. The very curious thing is, although it is part of the definition clause of the lease, there is no further mention in the lease of force majeure, what happens should circumstances of force majeure arise. It is very curious.
MR JUSTICE ARNOLD: Right. Yes, that is odd.
MR STAUNTON: So it does not appear on the face of this document that any event of force majeure excuses Empowering Wind from paying the rent. Where you do find force majeure is, if you turn on to the energy supply agreement, p.51, it has an effective force majeure clause. So p.51. This is the energy supply agreement.
MR JUSTICE ARNOLD: Yes.
MR STAUNTON: If you turn on to p.54, you will see the force majeure definition about two-thirds of the way down the page. It is slightly different to the definition of force majeure in the lease, but that’s neither here nor there in my submission, but this does have effect because if you turn on to p.57—-
MR STAUNTON: — cl.3.1.2, there is an obligation to pay sums, and p.60, cl.6, does have an effective force majeure clause. Now, I do not have, in the evidence, any answers to why there is an effective force majeure in the energy supply agreement but not in the lease, but that is the evidence before you.
MR JUSTICE ARNOLD: Okay.
MR STAUNTON: Now, the rent was not paid and there was a demand, forfeiture. Can you turn to p.66? There is the invoice for the rents. Page 67 is the invoice itself and p.73—-
MR JUSTICE ARNOLD: Yes?

Although wilfully blind, Ulick Staunton, counsel for the Club and Sir Richard Arnold are not and were not then physically blind anyway, they can see as well as you can below, that page 67 of the Club’s ex-parte bundle was not an invoice for the rents at all, rather, it is an invoice for £181,269.89 for energy supply, which Ulick Staunton admitted was not owed, because, in his own words, there is an “effective force majeure clause“.
The Club, who completed the terms of the supply contract with EW on 7 November 2013 together with the Connection Deed, knew, or ought to have done, that any such invoice was contractually prohibited, because there was no “Entitlement to Agreed Output” (agreement to supply any power). That is the motive in Mr Staunton’s lie in Court, saying the energy supply invoice below was “rent”

Page 67 of Middlesbrough Football Club’s ex-parte hearing bundle is not an invoice for rent at all – as they falsely represented in Court – Arnold J must have known that !
1.7. Failure to disclose crucial material facts in relation to the energy supply agreement:
The Club and their lawyers failed entirely to disclose that any ‘invoicing & payment‘ was contractually prohibited, because there was to contractual “Entitlement to Agreed Output‘ after the Club refused the connection on 30 April 2015.
On the contrary, in breach of their legal duty of full and frank disclosure, they failed to disclose both, and then in tandem failed to disclose they refused the connection, whilst withholding all the evidence to prove they did!
1.8. Summary of the Club’s wrongdoings during their 9 January 2017 ex-parte financial injunction hearing:
1. Ulick Staunton, counsel for the Club referred at paragraph 6 of his skeleton created prior to the hearing, to the fact that the lease contains a force majeure clause. During the hearing Mr Staunton lied about it, saying there was no force majeure clause in the lease, other than the definition, because he knew no rent was owed precisely due to existence of that clause. Mr Staunton lied in Court saying that the invoice for energy supply, he knew could not be established, is an invoice for the rent, knowing it is an invoice for energy supply that was not owed either.
2. The Club and their lawyers failed to disclose the crucial material fact that on 30 April 2015, the Club, acting by Mr Bloom himself (pictured below), defeated the connection, and the contractual purpose. In tandem with that material non-disclosure, was failure to disclose that the energy supply agreement was conditional upon EW / EEI’s ‘satisfaction in full’ of entering into that connection agreement, prior to there being any agreement to supply any power.
3. The Club and their lawyers withheld the planning related evidence, the grid connection related evidence and the assignment on which the demand was based, when that evidence was served on them by process server, in person, by emptying the contents on the front desk of the Club’s stadium, at 10.30AM on 6 January 2017.
1.9. SECTION 5B PERJURY ACT 1911: Knowingly false statement certified as true by the Club:

Paragraph 22.2 of the Club’s 8 January 2017 witness statement by Jeremy Robin Bloom

It is evident from the official transcript we recited above, that Ulick Staunton took Sir Richard Arnold to the Club’s unwarranted demand dated 25 June 2015, comprising of a purported claim for £75,000 in rent, and £181,269.89 energy supply.
The first page (1 of 7) was page 66 of the Club’s ex-parte bundle, and page 67 was therefore page 2.
Pages 3 – 7 are invoices for the quarterly rent in the sum of £15,000 including V.A.T.
Similarly, Sir Richard Arnold was also taken the Schedule 7 of the lease (Rent) which also affirmed that the rent is £50,000 a year payable in quarterly instalments. Below, we exhibit a photograph of Schedule 7: 
In the Club’s ex-parte hearing bundle, Sir Richard Arnold also learned that the Club had made an additional claim in the sum of £541,308.89 against EW of which £466,308.89 was also for energy supply!
19-days prior, the Club was claiming the sum of their unwarranted demand, of which £181,269.89 was that invoice for energy supply!
Page 5 of the EEI demand listed the assignment as one of the exhibits with it, along with the ‘Connection Deed’ and ‘Connection Offer’, Sir Richard Arnold must have known that these documents were withheld, but no further questions were asked.

We recite paragraphs 3 – 4 of Sir Richard Arnold’s ex-parte 9 January 2017 judgment below:
“3. The background to the matter, in summary, is as follows. On 17 June 2013 the applicant granted Empowering Wind a lease on payment of a premium of £200,000 under which Empowering Wind was liable to pay rent of £550,000 per annum. There was a planning aspect to the matter which I do not propose to go into in any detail, but the upshot was that it was not until December 2014 that Empowering Wind obtained planning permission from the local planning authority. Empowering Wind paid the rents due under the lease up to June 2015, but thereafter failed to pay the rent. On 19 August 2015 the applicant forfeited the lease.
4. It is apparently Empowering Wind’s assertion, and now the respondent’s assertion, that the delay which was encountered between September 2013 and December 2014 in obtaining planning permission from the local planning authority was an event of force majeure under the lease. Be that as it may, it is at least arguable on the evidence before the court that Empowering Wind and the respondent have known for a very considerable period of time that the claim was disputed“
It becomes obvious to the ordinary man or woman reading this down the pub, that Sir Richard Arnold said he ‘did not want to go into the planning aspect to the matter‘, because he knew that the Club had withheld the planning related evidence
If Sir Richard Arnold believed himself when he said that EW paid the rents due under the lease up until June 2015, he knew that the next instalment of rent in the sum of £15,000 (including V.A.T) was due on 18 September 2015!
Sir Richard Arnold however, did not make any error, for he approved the judgment in November 2019, long after it was orally handed down, and he knew that the Club had demanded £75,000 for rent and £181,269.89 for energy supply.
After discovering that the Club fictitiously claimed £541,308.89 on 20 December 2016, at paragraph 3 of his judgment, Sir Richard Arnold is attested making the knowingly false representation that the rent owed to the Club was £550,000 per annum, knowing nothing was owed at all!
PRIMARY CONCLUSION: Judicial corruption by 1 of 3: Sir Richard Arnold:
- Sir Richard Arnold concealed obvious material non-disclosure by the Club and their lawyers, he lied about the rent, knowing that contractually force majeure had effect and no rent was owed.
- Sir Richard Arnold lied and said EW paid the rents up until June 2015, when he knew no rent was owed and that he had before him an invoice dated 25 June 2015, in the sum of £15,000 including V.A.T
- Sir Richard Arnold lied and said the rent owed to the Club was £550,000 to conceal the obviously false claim of 20 December 2016 by the Club, of which £466,308.89 was for energy supply!.
Sir Richard Arnold was given a taxpayer sponsored promotion, elevated to a Lord Justice of Appeal, after breaching his oath and acting fraudulently in this case, it is proven.
2. 2 of 3: Sir Christopher Nugee – AKA Lord Justice Nugee
On 30 January 2018 EEI made an application to set aside the fraudulently obtained order of 9 January 2017.
Sir Christopher Nugee (D.O.B; 23 January 1959) AKA Lord Justice Nugee presided over EEI’s application and to prove his acts of judicial corruption, we relied on real evidence, the 88-page official transcript of the hearing of 5 February 2018, and the 6-page approved judgment.

On 5 February 2018, sitting in the Rolls Building, the interim applications Court 10, when Sir Christopher Nugee, then a High Court Judge, purported to determine EEI’s application of 30 January 2018 to set aside the Club’s injunction orders. At paragraphs 3 – 4 of his judgment, Sir Christopher Nugee said this:
“3…I have heard some explanation from Mr Millinder as to why that project did not succeed, his contention being that it was, in effect, all Middlesbrough’s fault for failing to enter into an agreement called the connection agreement. The upshot of that was that EW was unable to generate any money, that meant it was neither able to pay rent under the lease, nor to pay what were quite substantial charges ostensibly payable under something called the energy supply agreement under which, if it was not supplying energy to Middlesbrough it had to pay Middlesbrough a figure based on eight pence for each kilowatt hour of energy which Middlesbrough consumed.
4. On the basis of those matters, Middlesbrough demanded payment of money from EW, terminated the lease for non payment of rent and subsequently appeared as a supporting creditor in support of a petition to wind up EW brought by HMRC. In January of 2017, Middlesbrough received a statutory demand, not from EW which was by then in liquidation, but by EEI claiming over half a million pounds in respect of what could be briefly described as abortive costs, namely £200,000 which had been paid by EW for the premium for the lease, and a further £330,000 said to be for costs which had been incurred on the project.”
Sir Christopher Nugee just did not consider judging in the public interest on the obvious and deliberate falure of the Club to have disclosed the material fact that on 30 April 2015, the Club defeated the contractual purpose, refusing the connection. It was obvious to anyone, they failed to disclose that material fact, whilst hiding it by also failing to disclose the Connection Deed, Northern Powergrid Connection Agreement and the agreement between the Club themselves and Northern Powergrid, for establishing the wind turbine connection.
Two tier selective judging, but this is far more sinister, we quickly reveal..
2.1. Judicial corruption: findings of material non disclosure by Sir Christopher Nugee on 5 February 2018 – an obvious cover up
At paragraphs 5 – 6 of his judgment, Mr Justice Nugee found, and the Club’s lawyers did not dispute that they withheld all the information said to have been withheld by Mr Millinder and his lawyers, Penningtons Manches LLP, in their letter to Womble Bond Dickinson (UK) LLP of 11 January 2017. Sir Christopher Nugee said this:
6. It is not disputed that those documents were not put before Mr Justice Arnold. I was also shown a note of the hearing in which Mr Staunton, who appeared for Middlesbrough then as he does for Middlesbrough today, says this:
“There is a definition of force majeure in the lease. There is no other reference to force majeure in the lease.”
That was something he repeated before me, but in fact, there was a provision in the lease at schedule 5, paragraph 6, which provided that:
“If either party is prevented for any period of time from performing its obligations under this lease by reason of force majeure, that party shall not be in breach of such obligations for so long as, and to the extent to which such reason shall subsist.”
Ulick Staunton lied about force majeure in the lease, in breach of his legal duty to have disclosed. Knowing of that, and then repeating the lie in relation to the most crucial contractual fact, Sir Christopher Nugee implied he did not believe Mr Staunton deliberately misled the Court.
Any judging by Mr Justice Nugee as to the contractual terms of the energy supply agreement was negated, following on from Sir Richard Arnold’s lie, that the rent was £550,000, to cover up £466,308.89 in energy supply, and £75,000 in rent!.
No consideration was given to the fact that Mr Staunton admitted on 9 January 2017 that the Club could establish no claim for energy supply, because ‘force majeure has effect’.
Rather, due to persistent failure to judge, on 20 February 2017, the Club fictitiously claimed £4,111,874.75, of which, over 4 million was also for energy supply!
To put that into perspective, 42-days after Mr Staunton admitted in the open Court that no claim could be established, on 9 January 2017, when his client, the Club was claiming £466,308.89 for energy supply, whilst on 25 June 2015 claiming the sum of £181,269.89 which Mr Staunton lied in Court about and said was “the invoice for the rents“, Middlesbrough Football Club and their lawyers, who completed the conditional energy supply agreement, then claimed £4,031,664.80 for energy supply!
2.2. Elizabeth Jones KC a Deputy High Court Judge of the same Court submitted that the non-disclosure was obviously material – Nugee J covered it up!
At paragraph 7 of his 5 February 2018 judgment, Sir Christopher Nugee said this:
“7. It is true that that provision was, in fact, referenced in the evidence, being a witness statement of Mr Bloom on behalf of Middlesbrough that was put before Mr Justice Arnold on the 9th January, both at paragraph 8.5 where that clause is referred to, and at paragraph 19, where he refers to a letter in which he had pointed out that even if there had been a force majeure event that would only have absolved EW from any breach of its contractual obligations, not from its liability to pay rent. I agree, however, with Ms Jones, that on an ex parte application judges are far more likely to pay attention to what counsel tells them than to matters disclosed in the evidence, and the statement by Mr Staunton, I think one must conclude, was in fact inaccurate, although I have no reason to think that Mr Staunton in any way misled Mr Justice Arnold deliberately. Ms Jones suggested that the non disclosure of the material which Mr Millinder relies on was undoubtedly material. It seems to me, however, that one must bear in mind the nature of the application that was brought before Mr Justice Arnold and then continued before Mr Justice Norris.“
2.3. Concise analysis of paragraph 7 of Sir Christopher Nugee’s judgment:
Mr Justice Nugee knew or ought to have known that Mr Staunton was under professional duties to his client, and to the Court to have diligently read his own client’s witness statement, and at p.8.5 Mr Bloom of the Club expressly stated that the lease contains a force majeure clause. On the balance of probabilities, that is from where Mr Staunton learned of the fact, which he repeated at paragraph 6 of his skeleton he created prior to the hearing, when he said this:
“The lease contains a force majeure clause“
Contrary to what his client was saying however, and what he said in his skeleton, during the short hearing on 9 January 2017, Mr Staunton lied, and said the force majeure clause was not in the lease, when it is proven he knew it was:
“The very curious thing is, although it is part of the definition clause of the lease, there is no further mention in the lease of force majeure, what happens should circumstances of force majeure arise. It is very curious.
“So it does not appear on the face of this document that any event of force majeure excuses Empowering Wind from paying the rent. Where you do find force majeure is, if you turn on to the energy supply agreement, p.51, it has an effective force majeure clause.“
2.4. Sir Christopher Nugee found that the Club’s failure to disclose went to proving the fact that they ‘killed the project’
At paragraph 8 of his judgment, Sir Christopher Nugee said this:
“In this case, two separate grounds were advanced by Middlesbrough, both in the evidence and by Mr Staunton before Mr Justice Arnold. One related to the underlying nature of the claim by EEI, which was a question as to whether it was right that it was Middlesbrough’s fault that the project had collapsed and whether there was a cause of action for the sums which had been thrown away as a result, and it does seem to me that the bulk of the non disclosure went to that issue. The other was a question as to whether EEI had any cause of action vested in it at all.”
2.5. SECOND CONCLUSION: Lies about (1) the contractual facts, (2) the assignment & (3) failure to disclose that the Club defeated the connection on 30 April 2015
- The crucial contractual fact proving the underlying claim of the EEI statutory demand was the force majeure clause of the lease that Mr Staunton twice lied about.
- The Club defeated the connection on 30 April 2015, concealing and failing to disclose that crucial fact, and in tandem failing to disclose the conditional energy supply agreement, that Mr Staunton also lied about, saying that the invoice for energy supply was rent.
- 42-days after their instructed counsel, Mr Staunton, admitted no claims could be established for energy supply, acting contrary to the mandatory engaged rule on insolvency set off (14.25 Insolvency Rules 2016) the Club and their lawyers then falsely claimed for over £4 million of energy supply. Mr Hannon, the Official Receiver of London, acting as liquidator, acted corruptly by failing in his duty to have wholly rejected the obviously bad proof, or to have set off.
SUBORDINATION OF PERJURY – Sir Christopher Nugee covered up obvious contempt and a knowingly false statement by Mr Bloom of the Club in a material particular
At p.9 of Mr Justice Nugee’s judgment, he said this:
“9. EEI’s appearance on the scene, as I understand it, was first apparent to Middlesbrough in the statutory demand, there having been correspondence before that date in which EW had been putting forward various claims against Middlesbrough. This was all dealt with in the evidence of Mr Bloom, who said that according to the statutory demand, the alleged debt was assigned by EW to EE on the 29th June 2015, and then makes a number of points in that regard, namely, that the lease had not been terminated on that date, therefore EW’s alleged claim against MFC did not even exist at the purported date of assignment, and then he refers to an email of 15th December 2016 in which Mr Millinder stated that he had the right to progress the claim:
“But I shall assign to its parent company.”
and that:
“EW’s liquidation did not prevent us from signing rights.”
and put forward the contention that it was to be implied from these statements that as at 15th December 2016 no such assignment had occurred.“
The passages we highlighted above are knowingly false statements subordinated by Sir Christopher Nugee from Mr Bloom of the Club’s ex-parte 8 January 2017 witness statement.
It is easy to prove that Mr Bloom’s statement that ‘EW’s alleged claim against MFC did not even exist at the purported date of the assignment’ was a knowingly false statement designed to conceal the fact that EW’s claim had arisen on 30 April 2015 when the Club defeated the contractual purpose by refusing the connection. We repeat, there was no disclosure of the crucial fact, on the contrary, the Club and their lawyers withheld all the connection related evidence to conceal it, knowing that EW’s claim arose though that.
At p.10 of Sir Christopher Nugee’s judgment which we recite below, he found that the assignment of 29 June 2015 was one of the documents that the Club withheld, it was the assignment on which the EEI claim is based, it is obviously, as Ms Jones KC submitted, material information.
2-days prior to lying and denying existence of the assignment on which the demand was based, the Club was served in person by an independent process server who emptied the contents of the envelope containing the EEI statutory demand, the assignment and all the rest of the material information withheld. That information was found to have been withheld, because it was first in the Club and their lawyer’s possession, with the demand.
Similarly it is evident below that the assignment itself made the distinction as to the fact that EEI was recovering funds invested via the assignment, and EW required an assignment from the Liquidator, to progress the claim that Mr Bloom falsely represented to conceal the genuine assignment of the debt subject of the EEI demand.
It is proven therefore beyond reasonable doubt that Mr Bloom and the Club have committed fraud by failure to disclose information and perjury for making the knowingly false statement at p.22.2 of their 8 January 2017 witness statement and other proven knowingly false statements.
Similarly, it is proven that the non-disclosure of the assignment was material, which is why it was withheld, and on 8 February 2019, in his judgment, the third of the three cheats we expose in this report, Sir Geoffrey Vos, said this:

For precisely the reason, Sir Christopher Nugee then did this:
After finding that the assignment was withheld – Sir Christopher Nugee forged and falsely represented it!

A screenshot we took of the original assignment terms (underlined green for emphasis) that Lord Justice Nugee had before him – He had the conscious and premeditated intent to falsely represent

False representations defacing the evidence by Sir Christopher Nugee are underlined red
The evidence withheld reveals that Mr Bloom misled the Court by lying and implying that because the claim vested in EW required assigning, there was no assignment of the funds invested to EEI, which was the assignment he lied about on 8 January 2017, whilst obviously having the conscious and premeditated intent to have withheld it at the same time, during the application hearing the following day.
It is evident that the dishonesty by false representation and failure to disclose crucial material information and facts was centered on:
a. Failure to disclose the crucial adverse fact that on 30 April 2015 the Club defeated the connection and therefore the contractual purpose:
b. False representations in relation to the force majeure clause of the lease, and failure to disclose and false representations in respect of the invoice for energy supply:
c. Forgery, false representations and dishonest concealment by the judges involved, of the same crucial material facts and evidence the Club and their lawyers withheld from their ex-parte 9 January 2017 hearing.
Was it a coincidence that Nugee J forged the assignment and falsely represented it only in the 3 places where doing so would make his corrupted version not absolute?
Having first read the terms of the assignment, Nugee J knew there were two causes of action, which is what the assignment told him, and therefore he knew the Club’s argument at p.22.2 of their 8 January 2017 ex-parte witness statement was false did he not?
2.7. Severe damages to Mr Millinder’s personal and business reputation through fraud and lies conveyed by ‘Judges’
It is a fact that on 9 January 2017, Mr Millinder, director of EEI, discovered the obvious dishonesty and non-disclosure in breach of the Club and their lawyer’s legal duty to disclose, and on that day, made a report and gave evidence to Cleveland Police, notably the most corrupt police force in the UK’s history, who covered up the proven crimes to prevent justice being served on their local Club, just as the civil court judges lied about the crucial evidence and facts.
In two-tier justice Britain, corrupt lawyers and politically connected cronies are made ‘above the law’, but that does not excuse the fact that they sought to ‘weaponise the court system’ to reverse the injured party into the defendant, and then they sought to jail him for being defrauded, handing out a 15-month jail sentence that is automatically void for civil contempt of court, after successive corrupt members of the judiciary covered up everything we have exposed in this report.
No judge ever mentioned anything about the contractual terms, nor the mandatory rule on insolvency set off that was automatically engaged prior to having made any insolvency order against EW or EEI. The truth is concealed not only by the UK establishment ‘Judges’, but by their propaganda agents, the Law Society liars who cover up for their members.
No judge ever touched on the fact that all the civil restraint orders and civil orders against Mr Millinder are automatically void for impermissible and illegal trespass on his privilege of absolute immunity from suit, in respect of the same crucial evidence and facts he first gave as a witness to police, then in the civil courts.
On the contrary, the King’s Bench Division headed up by Lady Justice Sharp, and the High Court of Chancery headed up by Lord Justice Birss, continue to conceal the same crucial evidence and facts presented by this Firm, since it first applied having acquired the case from June 2022 onwards.
The project was heavily publicised in 2013. Press coverage turned from positive to negative and then to untrue and defamatory, severely damaging Mr Millinder’s personal and business reputation branding him a ‘vexatious litigant’ and ‘timewasting businessman’ to hide the true facts that the Club and the English establishment were the wrongdoers.
Boro to install 136m-tall wind turbine at the Riverside Stadium Teesside Live | Radar row at Middlesbrough FC threatens football wind farm … The Guardian | Middlesbrough FC: Energy firm sues Durham Tees Valley Airport BBC |
Middlesbrough FC turbine scheme heads for High Court
20 September 2015
By Stuart Minting
HAPPIER TIMES: Empowering Wind chief executive Paul Millinder, left, and Middlesbrough FC chief executive Neil Bausor launching the renewable energy scheme in 2013
AN ambitious scheme to make Middlesbrough FC’s stadium the first self-sustainable sports venue in Europe appears to be in tatters, as the developer behind the project announced it was launching £11m High Court actions against the club and Middlesbrough Council.
North Yorkshire developer Empowering Wind said its partnership with Boro had disintegrated following four years’ work, as it prepared to install a 136m turbine in the 34,000-seater stadium’s overflow car park.
The firm claims the Championship club’s bosses have refused to provide a connection from the turbine to Riverside Stadium, following the club suffering £240,000 revenue losses due to lengthy delays as the council considered a Durham Tees Valley Airport objection to the scheme.
THE PUBLIC SMEAR CAMPAIGN OF GANGSTALKING HARASSMENT: Lies by the Law Society cheats & compromised mainstream media:
23 January 2024 – By Michael Cross of the Law Society:
“Banned vexatious litigant fails in latest attempt to reopen seven-year-old case“
2 November 2022 – By Michael Cross of the Law Society:
Vexatious Litigant Who Flouted ‘All Courts’ Ban Jailed For 15 Months’
11 February 2019 – The Teesside Gazette – By Ian McNeil an avid Middlesbrough FC supporter:
“The costly and bitter row over a £3.5m turbine involving Boro and ‘time wasting’ businessman”
3. 3 of 3: Sir Geoffrey Vos – Master of the Rolls – Now head of civil justice for England & Wales
The dishonest concealment of the crucial contractual facts and the evidence of fraud, by the then Chancellor of the High Court, and the outright lies, are simply off the scale, and are easily identifiable for all to see.
This is the man put in charge of the civil justice system, the second highest judge in the country aside from the Lady Chief Justice who has been putting other judges into this case to continue covering up what he had, between 28 September 2018 – 8 March 2019 in alleged fraudulent abuse of his duties as Chancellor of the High Court.
Like Sir Richard Arnold, and Sir Christopher Nugee, Sir Geoffrey Vos was also given taxpayer sponsored elevation. Rewards for following orders?
The crux of Mr Millinder’s case, his companies EW and EEI’s case was all about set off / 14.25 Insolvency Rules 2016, and the crucial contractual fact that no money was owed. On 12 November 2018 Mr Staunton admitted that fact at p.37 of his skeleton argument in the application hearing presided over by Sir Geoffrey Vos, who asked Mr Staunton to retract and replace his skeleton, after adjourning the hearing for 3-months less than 24-hours prior to the hearing listed on 14 November 2018, citing an eye problem.
We think, what Sir Geoffrey was in fact referring to was his wilful blindness as to the crucial evidence and facts. Naturally, Mr Staunton obliged, but only after first serving Mr Millinder the skeleton he wanted to cover up!

An illustrated photograph of Mr Staunton’s 12 November 2018 skeleton argument for the Club
We exhibit below pages 4 and 5 of Mr Millinder’s 5-page application of 28 September 2018 that came before Sir Geoffrey Vos under the guise of an automatically void civil restraint order deployed by HHJ Philip Mark Pelling KC to conceal the crucial evidence and facts Mr Millinder first gave as a witness to police on 9 January 2017.
It is notable that there is no singular reference to the crucial rule on insolvency set off, nor the contractual terms and the admission by Mr Staunton that the Club does not bring the claims it brought, nor the fact that on 9 January 2017 Mr Staunton himself admitted in Court on 9 January 2017, could not be established for energy supply, because “force majeure has effect”.
On the contrary, Sir Geoffrey Vos, like Sir Richard Arnold on 9 January 2017, and Sir Christopher Nugee on 5 February 2018, is lying on 8 February 2019 to conceal the same crucial evidence and facts.
3.1. Mr Millinder’s 28 September 2018 5-page application notice – the proceeding presided over by Sir Geoffrey Vos:
APP-15-11-2017_EEI Page 5 of the 5-page application of 28 September 2018 expressly set out the contractual terms and the EW and EEI quantified cross claims that law intended be automatically set off pursuant to Rule 14.25 Insolvency Rules 2016. You can establish for yourselves by examining the fraudulent, automatically void without jurisdiction judgment of 8 February 2019, that there is no singular reference to the crucial law they evaded to defraud Mr Millinder of the claims that were to have been set off (14.25 Insolvency Rules 2016 / insolvency set off) nor of the crucial contractual terms of the lease and energy supply agreement that established the EW and EEI claims, because those terms proved that the Club’s claims are knowingly false. At paragraphs 103 and 105 of Sir Geoffrey Vos’s 8 February 2019 judgment, he lied and said this:“103. I can say at once that I have been through all the papers in this case in meticulous detail, and I have seen no evidence of any kind for any of the allegations of fraud, conspiracy or misdealing that Mr Millinder has made. He has made these allegations when he became frustrated by his seeming inability to find a forum in which he would vindicate what he saw as his companies’ irrebuttable claims. He should not have done so, nor should he have threatened any of these professionals or public servants as he has sought to do. I hope that, once he has read and digested this judgment, he will understand why this behaviour has been inappropriate. I hope also that it will hereafter cease“
“105. On 25th June 2015, Middlesbrough invoiced Empowering Wind MFC for a quantified claim for rent in the sum of £256,269.89 and threatened forfeiture of the Lease and termination of the ESA. Mr Millinder could at that stage, on behalf of Empowering Wind MFC, if he had grounds to do so, immediately have challenged those claims. He could have sought an injunction to restrain the presentation of a winding up petition, or initiated a civil claim to determine whether or not the monies claimed were due on the basis of the force majeure clauses or otherwise. At the same time, Mr Millinder could have advanced Empowering Wind MFC’s alleged cross claims for misrepresentation and breaches of the Lease and the ESA. He did not, however, do so.“
The fact is that Mr Millinder did not need to seek an injunction, or to advance the cross claims. The Club fraudulently claimed to be creditors in the sum of £256,269.89 on 15 August 2016 and the House of Lords finally determined in Stein v Blake [1995] UKHL 11 that doing so engaged the mandatory rule, set off, which all the ‘Judges’ in this case evaded both administering and then making any mention of. Insolvency law requires that when there are claims arising through pre-insolvency mutual dealings between the insolvent and a creditor, or one claiming to prove, the sums due from one, must be set off against sums due from the other. (See: R.14.25 Insolvency (England & Wales) Rules 2016 & Bresco Electrical Services Ltd v Michael J Lonsdale [2020] UKSC 25). In 2020, the Supreme Court in Bresco put it this way: P.29…whereas legal or equitable set-off is essentially optional, taking effect only if the cross-claim is pleaded as a defence to the claim, insolvency set-off is mandatory, and takes effect upon the commencement of the insolvency (the “cut-off date”). It is said to be self-executing, and for some purposes the original cross-claims are replaced by a single claim for the balance: see IR 14.25(3) and (4). P.30. The identification of the net balance is to be ascertained by the taking of an account: see IR 14.25(2). If there is no dispute as to the existence and amount of the claims and cross-claims this is in practice a matter of simple arithmetic, the net balance being the difference between the aggregate of the claims and the aggregate of the cross-claims. But if any of the claims and cross-claims are in dispute, then those disputes will need first to be resolved, by reference to the individual merits of each, before the arithmetic resumes: see again Stein v Blake (supra) per Lord Hoffmann at 255E-G.” The corrupted judiciary of England and Wales bypassed and concealed not only the crucial evidence and facts, but they failed to administer he mandatory law of due process in conjunction, to defraud Mr Millinder and to have deprived creditors of the assets law intended be realised for their benefit. Contrary to the lies by Sir Geoffrey Vos we recited above at p.103 of his judgment concealing fraud, at p.2 in Belmont Park Investments PTY v BNY Corporate Trustee Services, the Supreme Court expressly referred to the conduct in doing an act to contract out of the law, as being fraud: “In 1812 Lord Eldon LC confirmed that a term which is “adopted with the express object of taking the case out of reach of the Bankrupt Laws” is “a direct fraud upon the Bankrupt Laws” from which a party cannot benefit: Higinbotham v Holme (1812) 19 Ves Jun 88, 92” At p.105 It is evident that Sir Geoffrey Vos was performing the same lie as Mr Staunton was on 9 January 2017 when he lied and said the invoice for energy supply in the sum of £181,269.89 was “the invoice for rent”. On the balance of probabilities, the ideal to have done so, then came from Vos, who repeated the lie himself, but whilst concealing the £466,308.89 claim for energy supply that Sir Richard Arnold lied about on 9 January 2017 and said was ‘rent in the sum of £550,000 knowing that only 75,000 of the £256,269.89 claim was for rent and that the rent instalments were £15,000 including V.A.T per quarter! This case establishes that in truth, nobody can rely on the corrupted English judiciary to gain remedy for breach of a contract, or to rely on the rights granted by the statutory laws of the land, for they can decide to deliberately fail to judge, and then cover up their fraud and the fraud of others like they are proven to have done in Mr Millinder’s case. Here, we have Vos lying and telling the world how meticulously he went through the application, whilst lying about the first fraudulent claim and concealing the second, and third, knowing that Nugee J had already found no such claims could be established, bypassing the law they deliberately failed to administer to achieve their idealisms in making the Defendants, ‘above the law’ due to creed.
King Solomon, peace be upon him, was the Grand Master of the Jerusalem Lodge. A manuscript dating back to the fifteenth century suggests that Freemasonry entered England through Jews in Egypt and Jerusalem – All senior lawyers are encouraged to join and the Law Society of England & Wales is a freemasonic stronghold
3.2. CONCLUSION: Judicial corruption, fraud and a severe affront to justice by the 3 stooges – Judicial fraud in conspiracy
- Nobody can mistake that on 9 January 2017, (1) Sir Richard Arnold lied and said that the rent was £550,000 and that EW paid the rent up until June 2015 to conceal the fact that £466,308.89 of the Club’s second claim for £541,308.89 was for energy supply.
- Nobody can mistake that Mr Staunton, counsel for the Club, identified that no money was owed for energy supply because force majeure had effect, and for that reason, anyone can conclude, Mr Staunton lied and said the invoice for energy supply in the sum of £181,269.89 was ‘the invoice for the rents’.
- Nobody can mistake that of the Club’s demand dated 25 June 2015, £75,000 is rent comprising of 5 invoices of £15,000 each (including V.A.T) for the quarterly rent instalments, and that therefore on 15 August 2016, the Club, acting by Mr Staunton were falsely claiming to be creditors in the sum of £256,269.89.
- Nobody can conclude anything other than the fact that Sir Geoffrey Vos knew that no money was owed to the Club contractually for rent or energy supply, and that he knew that of the Club’s unwarranted demand of June 2015, £181,269.89 was an invoice for energy supply they were contractually prohibited from invoicing for, so he committed fraud by false representation to conceal the crucial fact, lying and saying that the claim was ‘a quantified claim for rent’.
Question: Why was there no reference in any of the ‘purported determinations’ in Mr Millinder’s case, to the automatically engaged mandatory rule of insolvency set off that was engaged from 15 August 2015 in respect of EW and its corresponding cross claim exceeding £10 million, and at all times from 30 June 2015 when EEI served notice of assignment, in respect of its £530,000 claim plus statutory accrued interest, and the Club’s £25,000 claim that arose from their fraudulent non-disclosure?
- Fundamentally, the Club could not defend the demand, because the completed contracts cannot be diminished, so they withheld the crucial evidence supporting the EEI demand, and lied about the crucial material facts in tandem, and the ‘Judges’ who do not judge concealed precisely the same.
- Sir Geoffrey continues to send his underlings in to conceal the fraud at the heart of this case acquired by this Firm, to prevent justice being served on himself, the Club and their co-defendants and his judicial cohorts of the same sect.
- Contrary to the public interest, the perpetrators, including the 3 stooges and their assistant liars at the Government Legal Department, and of the Attorney General’s Office and Police forces, continue obtaining money from the taxpayer of which they are not lawfully entitled. A taxpayer funded criminal racketeering enterprise perpetrating fraud and gross human rights abuses on the people in the name of law and justice.
The case continues, and they continue to act as ‘judges of their own cause’, off the back of ‘varying degrees of nullity’.
3.3. INVITATION TO COMMENT
What is the purpose of a judge who does not judge, and what would the ordinary man down the pub think?
Lord Justice Arnold, Lord Justice Nugee, the Master of the Rolls, Sir Geoffrey Vos, the Lady Chief Justice, the Prime Minister’s Anti-Corruption Champion, the Attorney General, Secretary of State for Justice and Serious Fraud Office has been invited to comment on this report.
All comments will be published in the public interest.







2 Comments
[…] named ‘3 stooges’ with real evidence substantiating those allegations against (1) Lord Justice Arnold, (2) Lord Justice Nugee and (3) Lord Justice Vos, but as they say, actions speak […]
[…] Read more about the contractual terms. […]